Nghiệp vụ | IT | |||
|---|---|---|---|---|
Người lập | Người duyệt | Người lập | Người duyệt | |
| Họ và tên | Nguyễn Thanh Vân | Nguyễn Đức Trung | ||
Nguyễn Đức Trung | ||||
Tài khoản email/MS team | vannt4 | trungnd3 | ||
trungnd3 | ||||
Chức danh | Business Analyst (BA) | Product Owner (P.O) | ||
Business Analyst Business (BA BIZ) | ||||
Ngày soạn thảo |
| |||
| ||||
Jira Link | [BPMKVH-5238] US A2.06 - A2.07 - Mở thầu và đánh giá HSDT- Jira | |||
1. Card (Mô tả tính năng)
Là thư ký Hội đồng thầu, tôi muốn thực hiện mở thầu để gửi Hồ sơ dự thầu (có thể kèm Hồ sơ tài chính) đến thành viên hội đồng thầu liên quan
Là thành viên Hội đồng thầu, tôi muốn thực hiện đánh giá Hồ sơ dự thầu của nhà thầu để xác định dự phù hợp của Hồ sơ dự thầu với hồ sơ mời thầu
2. Confirmation/ Acceptance Criteria (Tiêu chí nghiệm thu)
1. Tôi muốn khi thực hiện mở thầu thành công, hệ thống tự động thực hiện cập nhật trạng thái gói thầu tại Site đấu thầu bao gồm:
- Mã gói thầu
- Trạng thái: Đã mở thầu
- Thời gian mở thầu
2. Tôi muốn khi thực hiện mở thầu thành công, hệ thống cập nhật lại thông tin gói thầu tại Portal và không cho phép Nộp thầu:
- Cập nhật trạng thái gói thầu tại màn hình Danh sách gói thầu
- Cập nhật thời điểm đóng thầu tại màn hình Chi tiết gói thầu
3. Tôi muốn cấu hình được trên luồng kích hoạt dây công việc dựa trên điều kiện Loại hồ sơ được nộp thầu: Số lượng hồ sơ thuộc loại hồ sơ >=1, kích hoạt dây công việc
4. Tôi muốn hệ thống khởi tạo công việc tương ứng với dây công việc được kích hoạt đến các nhân viên phụ trách
5. Tôi muốn nhân viên phụ trách tiếp nhận được công việc và hoàn thành công việc được phân giao
6. Tôi muốn cấu hình số luồng cần hoàn thành dựa trên điều kiện Loại hồ sơ được nộp thầu: Số luồng công việc cần hoàn thành = Số loại hồ sơ được nộp để kích hợp công việc Tổng hợp kết quả mời thầu
7. Tôi muốn tiếp nhận và hoàn thành được công việc Tổng hợp kết quả mời thầu
8. Tôi muốn hệ thống kiểm tra điều kiện khi phương án thư ký hội đồng thầu lựa chọn khi kết thúc thời gian nộp thầu:
- Phản hồi kết quả nhà thầu: Kích hoạt sự kiện Gửi kích hoạt phản hồi nhà thầu, Mở vòng nộp thầu tiếp theo và quay lại bước Receive Task "Nộp thầu"
- Đàm phán thương thảo: hệ thống đi tiếp quy trình đến bước đàm phán thương thảo
9. Tôi muốn khi sự kiện Gửi kích hoạt phản hồi nhà thầu, hệ thống cấu hình thông tin kích hoạt việc phản hồi kết quả đánh giá cho nhà thầu sang Site đấu thầu bao gồm.
- Mã gói thầu
- Thời gian nộp thầu lần tiếp theo
- Ghi chú gia hạn
- Trạng thái: Phản hồi nhà thầu.
10. Thông tin Yêu cầu điều chỉnh/ Từ chối: BPM1-Danh sách công việc thuộc quy trình từ bước A.01 - A.11_Luồng từ chối-YCĐC
3. Conversation (Mô tả chi tiết)
3.1. UIUX:
3.1.1. Màn hình pop-up "Đánh giá nhà thầu" (hồ sơ tài chính)
a. Khi chưa thực hiện đánh giá
b. Khi đã thực hiện đánh giá
3.1.2. Màn hình pop-up "Hồ sơ dự thầu" (chi tiết đánh giá từng hồ sơ tài chính) thuộc bước A2.07
a. Khi đánh giá hồ sơ tài chính không đáp ứng
b. Khi đánh giá hồ sơ tài chính đáp ứng
3.1.3. Màn hình Kết quả đánh giá trong phân hệ Site đấu thầu
3.1.3.1. Màn hình pop-up "Hồ sơ dự thầu" (chi tiết đánh giá từng hồ sơ tài chính)
a. Kết quả đánh giá hồ sơ tài chính không đáp ứng
b. Kết quả đánh giá hồ sơ tài chính đáp ứng
3.2. Luồng:
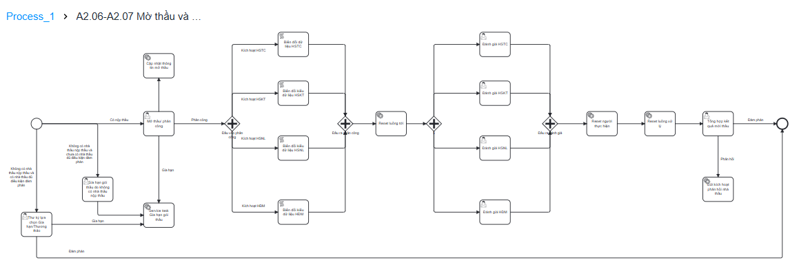
3.2.1. Bước "A2.06 - A2.07 - Mở thầu và đánh giá HSDT"
3.3. API Spec: <gắn link tài liệu mô tả API vào đây>
3.4. Mô tả các trường dữ liệu trên màn hình:
3.4.1. Bước A2.06 Mở thầu
- Người thực hiện: Nhân sự đã thực hiện công việc "Thư ký Hội đồng thầu phát hành Hồ sơ mời thầu" tại bước A2.04
- Tại bước A2.06, hệ thống thực hiện chia gói thầu theo 3 luồng:
- Với trường hợp có nhà thầu nộp thầu (var_documents.count > 0) → hệ thống đi luồng "Có nộp thầu"
- Với trường hợp không có nhà thầu nộp thầu → hệ thống đi qua luồng "Không có nhà thầu nộp thầu và chưa có nhà thầu đủ điều kiện đàm phán" (mục 3.4.1.1. Gia hạn thời gian nộp thầu tại Bước A2.06 Mở thầu trong 5237 - User Story - A2. Bổ sung nhà thầu)
3.4.1.1. Màn hình công việc "Mở thầu/phân công"
- Công việc được sinh ra khi hệ thống đi luồng "Có nộp thầu"
Trường/nút chức năng | Kiểu dữ liệu | Điều kiện | Quy định | Mô tả | |
|---|---|---|---|---|---|
| 1 | Mục thông tin chung | Dữ liệu được kế thừa từ mục tương ứng từ công việc "Giám đốc Phòng tư vấn giá và đấu thầu xây dựng tiếp nhận & phân công nhân viên phụ trách" tại bước A2.03 | Thể hiện thông tin chung của gói thầu | ||
| 2 | Mục Nhà thầu được chỉ định thay thế | Chỉ hiển thị mục khi giá trị tại trường "Nhà thầu được chỉ định thay thế" khác với giá trị tại trường "Nhà thầu được chỉ định ban đầu" | Thể hiện thông tin nhà thầu được chỉ định thay thế | ||
| 3 | Nhà thầu được chỉ định thay thế | Lựa chọn (Droplist) | Bắt buộc | - Chỉ hiển thị trường khi giá trị tại trường khác với giá trị tại trường "Nhà thầu được chỉ định ban đầu" - Nguồn dữ liệu: Lấy thông tin mã - tên nhà thầu đã thực hiện nộp thầu tại lần gần nhất trong danh mục Quản lý dự thầu tại phân hệ Site đấu thầu | Thể hiện thông tin nhà thầu được chỉ định thay thế thực hiện gói thầu |
| 4 | Mục Mở thầu | ||||
| 5 | Lựa chọn mở thầu | Lựa chọn (Droplist) | Bắt buộc | Cho phép người dùng lựa chọn 1 trong 2 phương án thư ký hội đồng thầu mở thầu gồm những loại hồ sơ nào:
| Thể hiện phương án lựa chọn mở thầu |
| 6 | Thông tin phân công đánh giá HSKT | Dữ liệu kế thừa từ mục tương ứng từ công việc "Mở thầu/phân công" tại bước A1.06 (2182 - User Story - Thiết kế luồng bổ sung nhà thầu, gia hạn gói thầu) | Thể hiện thông tin phân công đánh giá HSKT | ||
| 7 | Thông tin phân công đánh giá HSTC | Dữ liệu kế thừa từ mục tương ứng từ công việc "Mở thầu/phân công" tại bước A1.06 (2182 - User Story - Thiết kế luồng bổ sung nhà thầu, gia hạn gói thầu) | Thể hiện thông tin phân công đánh giá HSTC | ||
| 8 | Thông tin phân công đánh giá HSNL | Dữ liệu kế thừa từ mục tương ứng từ công việc "Mở thầu/phân công" tại bước A1.06 (2182 - User Story - Thiết kế luồng bổ sung nhà thầu, gia hạn gói thầu) | Thể hiện thông tin phân công đánh giá HSTC | ||
| 9 | Thông tin Phân công đánh giá hợp đồng mẫu | Dữ liệu kế thừa từ mục tương ứng từ công việc "Mở thầu/phân công" tại bước A1.06 (2182 - User Story - Thiết kế luồng bổ sung nhà thầu, gia hạn gói thầu) | Thể hiện thông tin phân công đánh giá HSTC | ||
| 10 | Mục Gia hạn nộp thầu | ||||
| 11 | Thời gian nộp thầu | Bộ chọn ngày (Date time picker) | Bắt buộc | Dữ liệu kế thừa từ mục tương ứng từ công việc "Mở thầu/phân công" tại bước A1.06 (2182 - User Story - Thiết kế luồng bổ sung nhà thầu, gia hạn gói thầu) | Thể hiện thời gian gia hạn nộp thầu |
| 12 | Ghi chú gia hạn | Văn bản (Text) | Bắt buộc | Dữ liệu kế thừa từ mục tương ứng từ công việc "Mở thầu/phân công" tại bước A1.06 (2182 - User Story - Thiết kế luồng bổ sung nhà thầu, gia hạn gói thầu) | Thể hiện ghi chú gia hạn |
| 13 | Nút "Tiếp nhận" | Nút chức năng (Button) | Không bắt buộc | Chức năng chung của hệ thống | Thể hiện nút chức năng Tiếp nhận công việc |
| 14 | |||||
| 15 | Nút "Lưu nháp" | Nút chức năng (Button) | Không bắt buộc | Chức năng chung của hệ thống | Thiện nút chức năng Lưu nháp công việc |
| 16 | Nút "Tạm dừng" | Nút chức năng (Button) | Không bắt buộc | Chức năng chung của hệ thống | Thể hiện nút chức năng Tạm dừng công việc |
| 17 | Nút "Tiếp tục" | Nút chức năng (Button) | Không bắt buộc | Chức năng chung của hệ thống | Thể hiện nút chức năng Tiếp tục công việc |
| 18 | Nút "Hoàn thành" | Nút chức năng (Button) | Không bắt buộc | - Chức năng chung của hệ thống - Sau khi nhấn nút, hệ thống chuyển sang công việc trong bước A2.07 của quy trình A2 | Thể hiện nút chức năng Hoàn thành công việc |
| 19 | Nút đóng "X" | Nút chức năng (Button) | Không bắt buộc | Chức năng chung của hệ thống | Thể hiện nút chức năng Đóng màn hình công việc |
| 20 | Nút mở rộng | Nút chức năng (Button) | Không bắt buộc | Chức năng chung của hệ thống | Thể hiện nút chức năng Mở rộng màn hình công việc |
| 21 | Nút thu nhỏ | Nút chức năng (Button) | Không bắt buộc | Chức năng chung của hệ thống | Thể hiện nút chức năng Thu nhỏ màn hình công việc |
3.4.1.2. Service task Cập nhật thông tin mở thầu
a. Điều kiện kích hoạt:
Sau khi người dùng hoàn thành Công việc mở thầu (hoàn thành không phải từ chối: điều kiện trên dây = var.approve): Hệ thống kích hoạt Send task gửi tín hiệu cho Site đấu thầu để thực hiện khóa việc nộp thầu (phục vụ trường hợp khi còn thời gian nộp thầu nhưng đã đủ điều kiện mở thầu và thư ký HĐT thực hiện mở thầu → khóa không cho các nhà thầu đã từ chối tham gia lại để nộp thầu)
- Người dùng hoàn thành Công việc mở thầu.
- Trạng thái hoàn thành ≠ Từ chối (điều kiện kiểm tra: var.approve = true)
b. Hành động của hệ thống:
- Hệ thống kích hoạt “Send Task” để gửi tín hiệu sang Site đấu thầu.
- Khi nhận tín hiệu, Site đấu thầu sẽ khóa chức năng nộp thầu nhằm ngăn chặn các nhà thầu đã từ chối trước đó quay lại nộp thầu trong 2 tình huống sau:
- Thời gian nộp thầu vẫn còn hiệu lực.
- Gói thầu đã đủ điều kiện mở và thư ký HĐT đã thực hiện thao tác mở thầu.
c. Thông tin cập nhật bao gồm:
- Mã gói thầu
- Trạng thái gói thầu = Đã mở thầu
- Thời gian mở thầu
- Thời gian kết thúc nộp thầu thực tế = Thời gian kết thúc mở thầu
d. Vị trí cập nhật trên giao diện:
- Portal nhà thầu – Danh sách gói thầu: cập nhật trạng thái gói thầu.
- Portal nhà thầu – Chi tiết gói thầu: cập nhật thời điểm đóng thầu.
- Site đấu thầu – Quản lý dự thầu: cập nhật thời gian kết thúc nộp thầu
3.4.2. Bước A2.07 Đánh giá Hồ sơ dự thầu
3.4.2.1. Parallel Gateway In
Hệ thống cho phép cấu hình số luồng cần hoàn thành dựa trên điều kiện Loại hồ sơ được nộp thầu (biddingtypeQuantity)
Ví dụ:
- có 01 hồ sơ tài chính được nộp → 1 luồng
- có 01 hồ sơ kỹ thuật được nộp → 1 luồng
- không có hồ sơ năng lực được nộp
- không có hợp đồng mẫu được nộp
→ Cần hoàn thành 02 luồng song song để đi tiếp bước tổng hợp kết quả
Cấu hình điều kiện trên dây để sinh công việc đánh giá tương ứng:
Ví dụ:
hskt = 1 → Kích hoạt công việc đánh giá hồ sơ kỹ thuật
hstc = 1 → Kích hoạt công việc đánh giá hồ sơ tài chính
hsnl < 1 → Không kích hoạt công việc đánh giá hồ sơ năng lực
hdm < 1 → Không kích hoạt đánh giá hợp đồng mẫu
3.4.2.2. Bước đánh giá hồ sơ
3.4.2.2.1. Quản lý quy trình - Cấu hình biểu mẫu - Cài đặt eform:
- Người thực hiện: Admin nghiệp vụ
- Dữ liệu kế thừa từ mục tương ứng tại 2312 - User Story - Thiết kế luồng happy A1.06-A1.07
3.4.2.2.2. Bước đánh giá hồ sơ kỹ thuật
- Người thực hiện: Nhân sự đã được lựa chọn phân công đánh giá HSKT ở công việc trước đó "Mở thầu/ phân công" tại bước A2.06
3.4.2.2.2.1. Màn hình Chi tiết công việc "Đánh giá hồ sơ kỹ thuật"
- Dữ liệu kế thừa từ mục 3.4.2.2.2.1 tại 2312 - User Story - Thiết kế luồng happy A1.06-A1.07
- Bổ sung trường trong màn hình Chi tiết công việc:
Trường/nút chức năng | Kiểu dữ liệu | Điều kiện | Quy định | Mô tả | |
|---|---|---|---|---|---|
| 1 | Tiếp nhận thực tế | Bộ chọn ngày (Date time picker) | Không bắt buộc | - Không cho phép thêm mới/sửa/xóa dữ liệu - Hệ thống hiển thị trường sau khi người dùng nhấn nút "Tiếp nhận" - Hệ thống ghi nhận thời điểm tiếp nhận thực tế = thời điểm người dùng nhấn nút "Tiếp nhận" | Thể hiện thời gian tiếp nhận thực tế |
| 2 | Kết thúc thực tế | Bộ chọn ngày (Date time picker) | Không bắt buộc | - Không cho phép thêm mới/sửa/xóa dữ liệu - Hệ thống hiển thị sau khi người dùng nhấn nút "Tôi chắc chắn" tại màn hình pop-up "Xác nhận gửi đánh giá" trong mục 3.4.2.2.2.2 Màn hình pop-up "Đánh giá nhà thầu" (hồ sơ kỹ thuật) - Hệ thống ghi nhận thời điểm kết thúc thực tế = thời điểm người dùng nhấn nút "Tôi chắc chắn" tại màn hình pop-up "Xác nhận gửi đánh giá" trong mục 3.4.2.2.2.2 Màn hình pop-up "Đánh giá nhà thầu" (hồ sơ kỹ thuật) | Thể hiện thời gian kết thúc thực tế |
| 3 | Nút "Tiếp nhận" | Nút chức năng (Button) | Không bắt buộc | Chức năng chung của hệ thống | Thể hiện nút chức năng Tiếp nhận công việc |
3.4.2.2.2.2. Màn hình pop-up "Đánh giá nhà thầu" (hồ sơ kỹ thuật)
- Dữ liệu kế thừa từ mục 3.4.2.2.2.2 tại 2312 - User Story - Thiết kế luồng happy A1.06-A1.07
3.4.2.2.2.3. Màn hình pop-up "Hồ sơ dự thầu" (chi tiết đánh giá từng hồ sơ kỹ thuật)
- Dữ liệu kế thừa từ mục 3.4.2.2.2.3 tại 2312 - User Story - Thiết kế luồng happy A1.06-A1.07
- Bổ sung trường trong mục Thông tin chung trong pop-up "Hồ sơ dự thầu":
Trường/nút chức năng | Kiểu dữ liệu | Điều kiện | Quy định | Mô tả | |
|---|---|---|---|---|---|
| 1 | Người đánh giá | Văn bản (Text) | Không bắt buộc | - Không cho phép thêm mới/sửa/xóa dữ liệu - Hệ thống hiển thị tên người đánh giá = tên nhân sự đã được lựa chọn phân công đánh giá HSKT ở công việc trước đó "Mở thầu/ phân công" tại bước A2.06 | Thể hiện tên người đánh giá |
- Bổ sung trường trong tab "Thông tin hồ sơ" trong pop-up "Hồ sơ dự thầu":
Trường/nút chức năng | Kiểu dữ liệu | Điều kiện | Quy định | Mô tả | |
|---|---|---|---|---|---|
| 1 | Ghi chú | Văn bản (Text) | Không bắt buộc | - Không cho phép thêm mới/sửa/xóa dữ liệu - Dữ liệu được lấy theo trường Ghi chú của nhà thầu từ màn hình pop-up "Hồ sơ dự thầu" của nhà thầu từ màn hình "Quản lý dự thầu" trong "Site đấu thầu" | Hiển thị ghi chú của nhà thầu |
3.4.2.2.3. Bước đánh giá hồ sơ năng lực
- Người thực hiện: Nhân sự đã được lựa chọn phân công đánh giá HSNL ở công việc trước đó "Mở thầu/ phân công" tại bước A2.06
3.4.2.2.3.1. Màn hình Chi tiết công việc "Đánh giá hồ sơ năng lực"
- Dữ liệu kế thừa từ mục 3.4.2.2.3.1 tại 2312 - User Story - Thiết kế luồng happy A1.06-A1.07
- Bổ sung trường trong màn hình Chi tiết công việc:
Trường/nút chức năng | Kiểu dữ liệu | Điều kiện | Quy định | Mô tả | |
|---|---|---|---|---|---|
| 1 | Tiếp nhận thực tế | Bộ chọn ngày (Date time picker) | Không bắt buộc | - Không cho phép thêm mới/sửa/xóa dữ liệu - Hệ thống hiển thị trường sau khi người dùng nhấn nút "Tiếp nhận" - Hệ thống ghi nhận thời điểm tiếp nhận thực tế = thời điểm người dùng nhấn nút "Tiếp nhận" | Thể hiện thời gian tiếp nhận thực tế |
| 2 | Kết thúc thực tế | Bộ chọn ngày (Date time picker) | Không bắt buộc | - Không cho phép thêm mới/sửa/xóa dữ liệu - Hệ thống hiển thị sau khi người dùng nhấn nút "Tôi chắc chắn" tại màn hình pop-up "Xác nhận gửi đánh giá" trong mục 3.4.2.2.3.2 Màn hình pop-up Đánh giá nhà thầu (hồ sơ năng lực) - Hệ thống ghi nhận thời điểm kết thúc thực tế = thời điểm người dùng nhấn nút "Tôi chắc chắn" tại màn hình pop-up "Xác nhận gửi đánh giá" trong mục 3.4.2.2.3.2 Màn hình pop-up Đánh giá nhà thầu (hồ sơ năng lực) | Thể hiện thời gian kết thúc thực tế |
| 3 | Nút "Tiếp nhận" | Nút chức năng (Button) | Không bắt buộc | Chức năng chung của hệ thống | Thể hiện nút chức năng Tiếp nhận công việc |
3.4.2.2.3.2. Màn hình pop-up "Đánh giá nhà thầu" (hồ sơ năng lực)
- Dữ liệu kế thừa từ mục 3.4.2.2.3.2 tại 2312 - User Story - Thiết kế luồng happy A1.06-A1.07
3.4.2.2.3.3. Màn hình pop-up "Hồ sơ dự thầu" (chi tiết đánh giá từng hồ sơ năng lực)
- Dữ liệu kế thừa từ mục 3.4.2.2.3.3 tại 2312 - User Story - Thiết kế luồng happy A1.06-A1.07
- Bổ sung trường trong mục Thông tin chung trong pop-up "Hồ sơ dự thầu":
Trường/nút chức năng | Kiểu dữ liệu | Điều kiện | Quy định | Mô tả | |
|---|---|---|---|---|---|
| 1 | Người đánh giá | Văn bản (Text) | Không bắt buộc | - Không cho phép thêm mới/sửa/xóa dữ liệu - Hệ thống hiển thị tên người đánh giá = tên nhân sự đã được lựa chọn phân công đánh giá HSNL ở công việc trước đó "Mở thầu/ phân công" | Thể hiện tên người đánh giá |
- Bổ sung trường trong tab "Thông tin hồ sơ" trong pop-up "Hồ sơ dự thầu":
Trường/nút chức năng | Kiểu dữ liệu | Điều kiện | Quy định | Mô tả | |
|---|---|---|---|---|---|
| 1 | Ghi chú | Văn bản (Text) | Không bắt buộc | - Không cho phép thêm mới/sửa/xóa dữ liệu - Dữ liệu được lấy theo trường Ghi chú của nhà thầu từ màn hình pop-up "Hồ sơ dự thầu" của nhà thầu từ màn hình "Quản lý dự thầu" trong "Site đấu thầu" | Hiển thị ghi chú của nhà thầu |
3.4.2.2.4. Bước đánh giá hợp đồng mẫu
- Người thực hiện: Nhân sự đã được lựa chọn phân công đánh giá HĐM ở công việc trước đó "Mở thầu/ phân công" tại bước A2.06
3.4.2.2.4.1. Màn hình Chi tiết công việc "Đánh giá hợp đồng mẫu"
- Dữ liệu kế thừa từ mục 3.4.2.2.4.1 tại 2312 - User Story - Thiết kế luồng happy A1.06-A1.07
- Bổ sung trường trong màn hình Chi tiết công việc:
Trường/nút chức năng | Kiểu dữ liệu | Điều kiện | Quy định | Mô tả | |
|---|---|---|---|---|---|
| 1 | Tiếp nhận thực tế | Bộ chọn ngày (Date time picker) | Không bắt buộc | - Không cho phép thêm mới/sửa/xóa dữ liệu - Hệ thống hiển thị trường sau khi người dùng nhấn nút "Tiếp nhận" - Hệ thống ghi nhận thời điểm tiếp nhận thực tế = thời điểm người dùng nhấn nút "Tiếp nhận" | Thể hiện thời gian tiếp nhận thực tế |
| 2 | Kết thúc thực tế | Bộ chọn ngày (Date time picker) | Không bắt buộc | - Không cho phép thêm mới/sửa/xóa dữ liệu - Hệ thống hiển thị sau khi người dùng nhấn nút "Tôi chắc chắn" tại màn hình pop-up "Xác nhận gửi đánh giá" trong mục 3.4.2.2.3.2 Màn hình pop-up "Đánh giá nhà thầu" (hợp đồng mẫu) - Hệ thống ghi nhận thời điểm kết thúc thực tế = thời điểm người dùng nhấn nút "Tôi chắc chắn" tại màn hình pop-up "Xác nhận gửi đánh giá" trong mục 3.4.2.2.3.2 Màn hình pop-up "Đánh giá nhà thầu" (hợp đồng mẫu) | Thể hiện thời gian kết thúc thực tế |
| 3 | Nút "Tiếp nhận" | Nút chức năng (Button) | Không bắt buộc | Chức năng chung của hệ thống | Thể hiện nút chức năng Tiếp nhận công việc |
3.4.2.2.4.2. Màn hình pop-up "Đánh giá nhà thầu" (hợp đồng mẫu)
- Dữ liệu kế thừa từ mục 3.4.2.2.4.2 tại 2312 - User Story - Thiết kế luồng happy A1.06-A1.07
3.4.2.2.4.3. Màn hình pop-up "Hồ sơ dự thầu" (chi tiết đánh giá từng hợp đồng mẫu)
- Dữ liệu kế thừa từ mục 3.4.2.2.4.3 tại 2312 - User Story - Thiết kế luồng happy A1.06-A1.07
- Bổ sung trường trong mục Thông tin chung trong pop-up "Hồ sơ dự thầu":
Trường/nút chức năng | Kiểu dữ liệu | Điều kiện | Quy định | Mô tả | |
|---|---|---|---|---|---|
| 1 | Người đánh giá | Văn bản (Text) | Không bắt buộc | - Không cho phép thêm mới/sửa/xóa dữ liệu - Hệ thống hiển thị tên người đánh giá = tên nhân sự đã được lựa chọn phân công đánh giá HĐM ở công việc trước đó "Mở thầu/ phân công" | Thể hiện tên người đánh giá |
- Bổ sung trường trong tab "Thông tin hồ sơ" trong pop-up "Hồ sơ dự thầu":
Trường/nút chức năng | Kiểu dữ liệu | Điều kiện | Quy định | Mô tả | |
|---|---|---|---|---|---|
| 1 | Ghi chú | Văn bản (Text) | Không bắt buộc | - Không cho phép thêm mới/sửa/xóa dữ liệu - Dữ liệu được lấy theo trường Ghi chú của nhà thầu từ màn hình pop-up "Hồ sơ dự thầu" của nhà thầu từ màn hình "Quản lý dự thầu" trong "Site đấu thầu" | Hiển thị ghi chú của nhà thầu |
3.4.2.2.5. Bước đánh giá hồ sơ tài chính
- Người thực hiện: Nhân sự đã được lựa chọn phân công đánh giá HSTC ở công việc trước đó "Mở thầu/ phân công" tại bước A2.06
3.4.2.2.5.1. Màn hình Chi tiết công việc "Đánh giá hồ sơ tài chính"
- Dữ liệu kế thừa từ mục 3.4.2.2.5.1 tại 2312 - User Story - Thiết kế luồng happy A1.06-A1.07
- Bổ sung trường trong màn hình Chi tiết công việc:
Trường/nút chức năng | Kiểu dữ liệu | Điều kiện | Quy định | Mô tả | |
|---|---|---|---|---|---|
| 1 | Tiếp nhận thực tế | Bộ chọn ngày (Date time picker) | Không bắt buộc | - Không cho phép thêm mới/sửa/xóa dữ liệu - Hệ thống hiển thị trường sau khi người dùng nhấn nút "Tiếp nhận" - Hệ thống ghi nhận thời điểm tiếp nhận thực tế = thời điểm người dùng nhấn nút "Tiếp nhận" | Thể hiện thời gian tiếp nhận thực tế |
| 2 | Kết thúc thực tế | Bộ chọn ngày (Date time picker) | Không bắt buộc | - Không cho phép thêm mới/sửa/xóa dữ liệu - Hệ thống hiển thị sau khi người dùng nhấn nút "Tôi chắc chắn" tại màn hình pop-up "Xác nhận gửi đánh giá" trong mục 3.4.2.2.3.2 Màn hình pop-up "Đánh giá nhà thầu" (hồ sơ tài chính) - Hệ thống ghi nhận thời điểm kết thúc thực tế = thời điểm người dùng nhấn nút "Tôi chắc chắn" tại màn hình pop-up "Xác nhận gửi đánh giá" trong mục 3.4.2.2.3.2 Màn hình pop-up "Đánh giá nhà thầu" (hồ sơ tài chính) | Thể hiện thời gian kết thúc thực tế |
| 3 | Nút "Tiếp nhận" | Nút chức năng (Button) | Không bắt buộc | Chức năng chung của hệ thống | Thể hiện nút chức năng Tiếp nhận công việc |
3.4.2.2.5.2. Màn hình pop-up "Đánh giá nhà thầu" (hồ sơ tài chính)
Trường/nút chức năng | Kiểu dữ liệu | Điều kiện | Quy định | Mô tả | |
|---|---|---|---|---|---|
| 1 | Pop-up "Đánh giá nhà thầu" (hồ sơ tài chính) | ||||
| 2 | Nhà thầu | Văn bản (Text) | Không bắt buộc | - Không cho phép thêm mới/sửa/xóa dữ liệu - Dữ liệu kế thừa từ trường tương ứng tại mục 3.4.2.2.5.2 tại 2312 - User Story - Thiết kế luồng happy A1.06-A1.07 | Thể hiện tên nhà thầu nộp thầu |
| 3 | Giá chào | Số (Number) | Không bắt buộc | - Không cho phép thêm mới/sửa/xóa dữ liệu - Dữ liệu được lấy theo dòng cuối cột "Tổng" (mã cột: vtotal) ở HSTC trong Hồ sơ dự thầu lần gần nhất thuộc danh mục Quản lý dự thầu tại phân hệ Site đấu thầu | Thể hiện giá chào từ nhà thầu |
| 4 | Giá trị dự kiến | Số (Number) | Không bắt buộc | - Không cho phép thêm mới/sửa/xóa dữ liệu - Dữ liệu được lấy theo trường Tổng giá trị dự kiến từ công việc "Mở thầu/phân công" tại bước A2.06 (nếu không có dữ liệu, bỏ trống trường) | Thể hiện giá trị dự kiến của gói thầu |
| 5 | Tỷ lệ chênh lệch (%) | Phần trăm (Percentage) | Không bắt buộc | - Không cho phép thêm mới/sửa/xóa dữ liệu - Dữ liệu được lấy theo 2 cách:
- Làm tròn đến hàng đơn vị | Thể hiện % thay đổi giữa giá chào của nhà thầu so với giá trị dự kiến của gói thầu |
| 6 | Trạng thái | Văn bản (Text) | Không bắt buộc | - Không cho phép thêm mới/sửa/xóa dữ liệu - Dữ liệu kế thừa từ trường tương ứng tại mục 3.4.2.2.5.2 tại 2312 - User Story - Thiết kế luồng happy A1.06-A1.07 | Thể hiện trạng thái đánh giá nhà thầu |
| 7 | Hồ sơ dự thầu | Văn bản +Đường dẫn (Text + Hyperlink) | Không bắt buộc | - Không cho phép thêm mới/sửa/xóa dữ liệu - Dữ liệu kế thừa từ trường tương ứng tại mục 3.4.2.2.5.2 tại 2312 - User Story - Thiết kế luồng happy A1.06-A1.07 | Thể hiện hồ sơ dự thầu |
| 8 | x/y nhà thầu đã được đánh giá | Văn bản (Text) | Không bắt buộc | - Không cho phép thêm mới/sửa/xóa dữ liệu - Dữ liệu kế thừa từ trường tương ứng tại mục 3.4.2.2.5.2 tại 2312 - User Story - Thiết kế luồng happy A1.06-A1.07 | Thể hiện số lượng nhà thầu đã được đánh giá trên số lượng nhà thầu nộp thầu |
| 9 | Nút đóng "X" | Nút chức năng (Button) | Không bắt buộc | Chức năng chung của hệ thống | Thể hiện nút chức năng Đóng màn hình công việc |
| 10 | Nút "Gửi đánh giá" | Nút chức năng (Button) | Không bắt buộc | Chức năng chung của hệ thống | Thể hiện nút chức năng Đóng màn hình công việc |
| 11 | Pop-up "Xác nhận gửi đánh giá" | Dữ liệu kế thừa từ màn hình pop-up tương ứng từ mục 3.4.2.2.5.2 tại 2312 - User Story - Thiết kế luồng happy A1.06-A1.07 | Thể hiện thông tin phân công đánh giá HSKT | ||
3.4.2.2.5.3. Màn hình pop-up "Hồ sơ dự thầu" (chi tiết đánh giá từng hồ sơ tài chính)
- Dữ liệu kế thừa từ mục 3.4.2.2.5.3 tại 2312 - User Story - Thiết kế luồng happy A1.06-A1.07
- Bổ sung trường trong mục Thông tin chung trong pop-up "Hồ sơ dự thầu":
Trường/nút chức năng | Kiểu dữ liệu | Điều kiện | Quy định | Mô tả | |
|---|---|---|---|---|---|
| 1 | Người đánh giá | Văn bản (Text) | Không bắt buộc | - Không cho phép thêm mới/sửa/xóa dữ liệu - Hệ thống hiển thị tên người đánh giá = tên nhân sự đã được lựa chọn phân công đánh giá HĐM ở công việc trước đó "Mở thầu/ phân công" | Thể hiện tên người đánh giá |
- Cập nhật tab "Đánh giá" trong pop-up "Hồ sơ dự thầu":
Trường/nút chức năng | Kiểu dữ liệu | Điều kiện | Quy định | Mô tả | |
|---|---|---|---|---|---|
| 1 | Xác nhận đủ điều kiện đáp ứng | Nút chọn (Radio) | Bắt buộc | - Hệ thống cho phép người dùng chọn 1 trong 2 giá trị:
| Thể hiện điều kiện đáp ứng của nhà thầu |
| 2 | Ghi chú | Văn bản (Text) | Không bắt buộc | Cho phép người dùng nhập ghi chú | Thể hiện ghi chú |
| 3 | Tài liệu đính kèm | iFrame | Không bắt buộc | - Cho phép người dùng đính kèm tài liệu - Cho phép người dùng xem tài liệu - Cho phép người dùng tải về tài liệu - Cho phép người dùng xóa tài liệu | Thể hiện tài liệu đính kèm |
- Bổ sung trường trong tab "Thông tin hồ sơ" trong pop-up "Hồ sơ dự thầu":
Trường/nút chức năng | Kiểu dữ liệu | Điều kiện | Quy định | Mô tả | |
|---|---|---|---|---|---|
| 1 | Ghi chú | Văn bản (Text) | Không bắt buộc | - Không cho phép thêm mới/sửa/xóa dữ liệu - Dữ liệu được lấy theo trường Ghi chú của nhà thầu từ màn hình pop-up "Hồ sơ dự thầu" của nhà thầu từ màn hình "Quản lý dự thầu" trong "Site đấu thầu" | Hiển thị ghi chú của nhà thầu |
3.4.2.3 Parallel Gateway Out
Hệ thống cho phép cấu hình số luồng cần hoàn thành dựa trên điều kiện Loại hồ sơ được nộp thầu (biddingtypeQuantity)
Ví dụ:
- có 01 hồ sơ tài chính được nộp → 1 luồng
- có 01 hồ sơ kỹ thuật được nộp → 1 luồng
- không có hồ sơ năng lực được nộp
- không có hợp đồng mẫu được nộp
→ Cần hoàn thành 02 luồng song song để kích hoạt công việc "Tổng hợp kết quả đánh giá":
Ví dụ:
- Công việc đánh giá hồ sơ kỹ thuật → hoàn thành
- Công việc đánh giá hồ sơ tài chính → chưa hoàn thành
- Không có công việc đánh giá hồ sơ năng lực
- Không có công việc đánh giá hợp đồng mẫu
→ Chưa kích hoạt công việc "Tổng hợp kết quả đánh giá"
- Tất cả công việc đánh giá hồ sơ kỹ thuật → hoàn thành
- Tất cả công việc đánh giá hồ sơ tài chính → hoàn thành
- Không có công việc đánh giá hồ sơ năng lực
- Không có công việc đánh giá hợp đồng mẫu
→ Kích hoạt công việc "Tổng hợp kết quả đánh giá"
3.4.2.4 Màn hình công việc "Tổng hợp kết quả đánh giá"
- Người thực hiện: Nhân sự đã thực hiện công việc "Mở thầu/ phân công" tại bước A2.06
Trường/nút chức năng | Kiểu dữ liệu | Điều kiện | Quy định | Mô tả | |
|---|---|---|---|---|---|
| 1 | Mục thông tin chung | Dữ liệu được kế thừa từ mục tương ứng từ công việc "Mở thầu/ phân công" tại bước A2.06 | Thể hiện thông tin chung của gói thầu | ||
| 2 | Mục Nhà thầu được chỉ định thay thế | Chỉ hiển thị mục khi giá trị tại trường "Nhà thầu được chỉ định thay thế" khác với giá trị tại trường "Nhà thầu được chỉ định ban đầu" | Thể hiện thông tin nhà thầu được chỉ định thay thế | ||
| 3 | Nhà thầu được chỉ định thay thế | Lựa chọn (Droplist) | Bắt buộc | - Chỉ hiển thị trường khi giá trị tại trường khác với giá trị tại trường "Nhà thầu được chỉ định ban đầu" - Nguồn dữ liệu: Lấy thông tin mã - tên nhà thầu đã thực hiện nộp thầu tại lần gần nhất trong danh mục Quản lý dự thầu tại phân hệ Site đấu thầu | Thể hiện thông tin nhà thầu được chỉ định thay thế thực hiện gói thầu |
| 4 | Phương án phản hồi kết quả | ||||
| 5 | Phương án phản hồi nhà thầu | Lựa chọn (Droplist) | Bắt buộc | - Cho phép người dùng lựa chọn 1 trong 2 phương án thư ký hội đồng thầu mở thầu:
| Thể hiện phương án thư ký hội đồng thầu lựa chọn khi tổng hợp kết quả đánh giá |
| 6 | Thời hạn phản hồi bổ sung | Bộ chọn ngày (Date time picker) | Bắt buộc | - Chỉ hiển thị với phương án nộp thầu: "0 - Phản hồi kết quả đánh giá và tạo vòng nộp thầu mới" - Dữ liệu kế thừa từ mục tương ứng từ công việc "Tổng hợp kết quả đánh giá" tại bước A1.07 (2312 - User Story - Thiết kế luồng happy A1.06-A1.07) | Thể hiện thông tin thời gian gia hạn cho lần nộp thầu tiếp theo |
| 7 | Ghi chú gia hạn | Văn bản (Text) | Bắt buộc | - Chỉ hiển thị với phương án nộp thầu: "0 - Phản hồi kết quả đánh giá và tạo vòng nộp thầu mới" - Cho phép người dùng nhập ghi chú gia hạn - Mặc định hiển thị: "Gia hạn nộp thầu vòng tiếp theo" | Thể hiện thông tin gia hạn cho lần nộp thầu tiếp theo |
| 8 | Nút "Tiếp nhận" | Nút chức năng (Button) | Không bắt buộc | Chức năng chung của hệ thống | Thể hiện nút chức năng Tiếp nhận công việc |
| 9 | |||||
| 10 | Nút "Lưu nháp" | Nút chức năng (Button) | Không bắt buộc | Chức năng chung của hệ thống | Thiện nút chức năng Lưu nháp công việc |
| 11 | Nút "Tạm dừng" | Nút chức năng (Button) | Không bắt buộc | Chức năng chung của hệ thống | Thể hiện nút chức năng Tạm dừng công việc |
| 12 | Nút "Tiếp tục" | Nút chức năng (Button) | Không bắt buộc | Chức năng chung của hệ thống | Thể hiện nút chức năng Tiếp tục công việc |
| 13 | Nút "Hoàn thành" | Nút chức năng (Button) | Không bắt buộc | - Chức năng chung của hệ thống - Sau khi nhấn nút, hệ thống thực hiện theo 1 trong 2 trường hợp dưới đây:
| Thể hiện nút chức năng Hoàn thành công việc |
| 14 | Nút đóng "X" | Nút chức năng (Button) | Không bắt buộc | Chức năng chung của hệ thống | Thể hiện nút chức năng Đóng màn hình công việc |
| 15 | Nút mở rộng | Nút chức năng (Button) | Không bắt buộc | Chức năng chung của hệ thống | Thể hiện nút chức năng Mở rộng màn hình công việc |
| 16 | Nút thu nhỏ | Nút chức năng (Button) | Không bắt buộc | Chức năng chung của hệ thống | Thể hiện nút chức năng Thu nhỏ màn hình công việc |
3.4.3.2 Service task Gửi kích hoạt phản hồi nhà thầu
Công việc được kích hoạt nếu phương án nộp thầu là "0 - Phản hồi kết quả đánh giá và tạo vòng nộp thầu mới"
Hệ thống cấu hình thông tin kích hoạt việc phản hồi kết quả đánh giá cho nhà thầu sang Site đấu thầu.
Thông tin kích hoạt bao gồm:
- Mã gói thầu
- Thời gian nộp thầu lần tiếp theo
- Ghi chú gia hạn
- Trạng thái: Phản hồi nhà thầu
3.4.3. Cập nhật danh mục Kết quả đánh giá trong phân hệ Site đấu thầu
3.4.3.1. Cập nhật màn hình "Kết quả đánh giá"
Trường/nút chức năng | Kiểu dữ liệu | Điều kiện | Quy định | Mô tả | |
|---|---|---|---|---|---|
| 1 | Lần ... | Tab | Không bắt buộc | Khi truy cập vào màn hình "Kết quả đánh giá", hệ thống mặc định mở lần gần nhất | Thể hiện các lần trả kết quả đánh giá của gói thầu sau các lần mở thầu tại A2.06 |
| 2 | Mục Hồ sơ dự thầu | ||||
| 3 | Nhà thầu | Đường dẫn + Văn bản (Hyperlink + Text) | Không bắt buộc | - Không cho phép thêm mới/sửa/xóa dữ liệu - Khi nhấn vào tên nhà thầu, hệ thống hiển thị màn hình pop-up "Kết quả đánh giá"của nhà thầu tương ứng - Dữ liệu: Danh sách nhà thầu được lấy sau các lần mở thầu tại A2.06 | Thể hiện tên nhà thầu được đánh giá |
| 4 | Kết quả đánh giá | Văn bản (Text) | Không bắt buộc | - Không cho phép thêm mới/sửa/xóa dữ liệu - Hệ thống hiển thị kết quả đánh giá về hồ sơ dự thầu của nhà thầu với 1 trong 3 giá trị:
| Thể hiện kết quả đánh giá về hồ sơ dự thầu của nhà thầu |
| 5 | Mục Hồ sơ tài chính | ||||
| 6 | Nhà thầu | Đường dẫn + Văn bản (Hyperlink + Text) | Không bắt buộc | - Không cho phép thêm mới/sửa/xóa dữ liệu - Khi nhấn vào tên nhà thầu, hệ thống hiển thị màn hình pop-up "Hồ sơ dự thầu" (chi tiết đánh giá từng hồ sơ tài chính) - Dữ liệu: Danh sách nhà thầu được lấy sau khi hoàn thành tất cả công việc đánh giá tại bước A2.07 | Thể hiện tên nhà thầu được đánh giá |
| 7 | Kết quả đánh giá | Văn bản (Text) | Không bắt buộc | - Không cho phép thêm mới/sửa/xóa dữ liệu - Hệ thống hiển thị kết quả đánh giá về hồ sơ tài chính của nhà thầu với 1 trong 3 giá trị:
| Thể hiện kết quả đánh giá về hồ sơ tài chính của nhà thầu |
3.4.3.2. Màn hình pop-up "Kết quả đánh giá" của nhà thầu tương ứng
- Sau khi nhấn vào tên nhà thầu tại màn hình "Kết quả đánh giá", hệ thống hiển thị pop-up "Kết quả đánh giá" tương ứng với nhà thầu
Trường/nút chức năng | Kiểu dữ liệu | Điều kiện | Quy định | Mô tả | |
|---|---|---|---|---|---|
| 1 | Tên nhà thầu | Văn bản (Text) | Không bắt buộc | Không cho phép thêm mới/sửa/xóa dữ liệu | Thể hiện tên nhà thầu |
| 2 | Lần ... | Tab | Không bắt buộc | Khi truy cập vào màn hình "Kết quả đánh giá", hệ thống mặc định mở lần gần nhất | Thể hiện các lần trả kết quả đánh giá của gói thầu sau các lần mở thầu |
| 3 | Mục Hồ sơ kỹ thuật | ||||
| 4 | Tên nhân sự thực hiện đánh giá | Văn bản (Text) | Không bắt buộc | - Không cho phép thêm mới/sửa/xóa dữ liệu - Dữ liệu được lấy theo tên nhân sự thực hiện công việc "Đánh giá HSKT" tại bước A2.07 | Thể hiện tên nhân sự thực hiện đánh giá |
| 5 | Kết quả đánh giá | Đường dẫn + Văn bản (Hyperlink + Text) | Không bắt buộc | - Không cho phép thêm mới/sửa/xóa dữ liệu - Nhấn vào giá trị tại trường, hệ thống hiển thị màn hình pop-up "Hồ sơ dự thầu" (chi tiết đánh giá từng hồ sơ kỹ thuật) - Hệ thống hiển thị kết quả đánh giá về hồ sơ kỹ thuật của nhà thầu với 1 trong 3 giá trị:
| Thể hiện kết quả đánh giá về hồ sơ kỹ thuật của nhà thầu |
| 6 | Mục Hồ sơ năng lực (nếu có) | ||||
| 7 | Tên nhân sự thực hiện đánh giá | Văn bản (Text) | Không bắt buộc | - Không cho phép thêm mới/sửa/xóa dữ liệu - Dữ liệu được lấy theo tên nhân sự thực hiện công việc "Đánh giá HSNL" tại bước A2.07 | Thể hiện tên nhân sự thực hiện đánh giá |
| 8 | Kết quả đánh giá | Đường dẫn + Văn bản (Hyperlink + Text) | Không bắt buộc | - Không cho phép thêm mới/sửa/xóa dữ liệu - Nhấn vào giá trị tại trường, hệ thống hiển thị màn hình pop-up "Hồ sơ dự thầu" (chi tiết đánh giá từng hồ sơ năng lực) - Hệ thống hiển thị kết quả đánh giá về hồ sơ năng lực của nhà thầu với 1 trong 3 giá trị:
| Thể hiện kết quả đánh giá về hồ sơ kỹ thuật của nhà thầu |
| 9 | Mục Hợp đồng mẫu (nếu có) | ||||
| 10 | Tên nhân sự thực hiện đánh giá | Văn bản (Text) | Không bắt buộc | - Không cho phép thêm mới/sửa/xóa dữ liệu - Dữ liệu được lấy theo tên nhân sự thực hiện công việc "Đánh giá HĐM" tại bước A2.07 | Thể hiện tên nhân sự thực hiện đánh giá |
| 11 | Kết quả đánh giá | Đường dẫn + Văn bản (Hyperlink + Text) | Không bắt buộc | - Không cho phép thêm mới/sửa/xóa dữ liệu - Nhấn vào giá trị tại trường, hệ thống hiển thị màn hình pop-up "Hồ sơ dự thầu" (chi tiết đánh giá từng hợp đồng mẫu) - Hệ thống hiển thị kết quả đánh giá về Hợp đồng mẫu của nhà thầu với 1 trong 3 giá trị:
| Thể hiện kết quả đánh giá về hồ sơ kỹ thuật của nhà thầu |
| 12 | Nút đóng "X" | Nút chức năng (Button) | Không bắt buộc | Cho phép người dùng nhấn để đóng màn hình pop-up | Thể hiện nút chức năng đóng màn hình pop-up |
3.4.3.3. Màn hình pop-up "Hồ sơ dự thầu" (chi tiết đánh giá từng hồ sơ kỹ thuật)
- Dữ liệu kế thừa từ mục 3.4.2.2.2.3. Màn hình pop-up "Hồ sơ dự thầu" (chi tiết đánh giá từng hồ sơ kỹ thuật)
- Bỏ nút "Lưu" trong pop-up "Hồ sơ dự thầu"
- Cập nhật tab "Đánh giá" trong pop-up "Hồ sơ dự thầu":
Trường/nút chức năng | Kiểu dữ liệu | Điều kiện | Quy định | Mô tả | |
|---|---|---|---|---|---|
| 1 | Xác nhận đủ điều kiện | Nút chọn (Radio) | Bắt buộc | - Không cho phép thêm mới/sửa/xóa dữ liệu - Dữ liệu được lấy theo trường tương ứng từ mục 3.4.2.2.2.3. Màn hình pop-up "Hồ sơ dự thầu" (chi tiết đánh giá từng hồ sơ kỹ thuật) | Thể hiện điều kiện đáp ứng của nhà thầu |
| 2 | Ghi chú | Văn bản (Text) | Không bắt buộc | - Không cho phép thêm mới/sửa/xóa dữ liệu - Dữ liệu được lấy theo trường tương ứng từ mục 3.4.2.2.2.3. Màn hình pop-up "Hồ sơ dự thầu" (chi tiết đánh giá từng hồ sơ kỹ thuật) | Thể hiện ghi chú |
| 3 | Tài liệu đính kèm | iFrame | Không bắt buộc | - Cho phép người dùng xem tài liệu - Cho phép người dùng tải về tài liệu - Dữ liệu được lấy theo trường tương ứng từ mục 3.4.2.2.2.3. Màn hình pop-up "Hồ sơ dự thầu" (chi tiết đánh giá từng hồ sơ kỹ thuật) | Thể hiện tài liệu đính kèm |
3.4.3.4. Màn hình pop-up "Hồ sơ dự thầu" (chi tiết đánh giá từng hồ sơ năng lực)
- Dữ liệu kế thừa từ mục 3.4.2.2.3.3 Màn hình pop-up "Hồ sơ dự thầu" (chi tiết đánh giá từng hồ sơ năng lực)
- Bỏ nút "Lưu" trong pop-up "Hồ sơ dự thầu"
- Cập nhật tab "Đánh giá" trong pop-up "Hồ sơ dự thầu":
Trường/nút chức năng | Kiểu dữ liệu | Điều kiện | Quy định | Mô tả | |
|---|---|---|---|---|---|
| 1 | Xác nhận đủ điều kiện | Nút chọn (Radio) | Bắt buộc | - Không cho phép thêm mới/sửa/xóa dữ liệu - Dữ liệu được lấy theo trường tương ứng từ mục 3.4.2.2.3.3 Màn hình pop-up "Hồ sơ dự thầu" (chi tiết đánh giá từng hồ sơ năng lực) | Thể hiện điều kiện đáp ứng của nhà thầu |
| 2 | Ghi chú | Văn bản (Text) | Không bắt buộc | - Không cho phép thêm mới/sửa/xóa dữ liệu - Dữ liệu được lấy theo trường tương ứng từ mục 3.4.2.2.3.3 Màn hình pop-up "Hồ sơ dự thầu" (chi tiết đánh giá từng hồ sơ năng lực) | Thể hiện ghi chú |
| 3 | Tài liệu đính kèm | iFrame | Không bắt buộc | - Cho phép người dùng xem tài liệu - Cho phép người dùng tải về tài liệu - Dữ liệu được lấy theo trường tương ứng từ mục 3.4.2.2.3.3 Màn hình pop-up "Hồ sơ dự thầu" (chi tiết đánh giá từng hồ sơ năng lực) | Thể hiện tài liệu đính kèm |
3.4.3.5. Màn hình pop-up "Hồ sơ dự thầu" (chi tiết đánh giá từng hợp đồng mẫu)
- Dữ liệu kế thừa từ mục 3.4.2.2.4.3. Màn hình pop-up "Hồ sơ dự thầu" (chi tiết đánh giá từng hợp đồng mẫu)
- Bỏ nút "Lưu" trong pop-up "Hồ sơ dự thầu"
- Cập nhật tab "Đánh giá" trong pop-up "Hồ sơ dự thầu":
Trường/nút chức năng | Kiểu dữ liệu | Điều kiện | Quy định | Mô tả | |
|---|---|---|---|---|---|
| 1 | Xác nhận đủ điều kiện | Nút chọn (Radio) | Bắt buộc | - Không cho phép thêm mới/sửa/xóa dữ liệu - Dữ liệu được lấy theo trường tương ứng từ mục 3.4.2.2.4.3. Màn hình pop-up "Hồ sơ dự thầu" (chi tiết đánh giá từng hợp đồng mẫu) | Thể hiện điều kiện đáp ứng của nhà thầu |
| 2 | Ghi chú | Văn bản (Text) | Không bắt buộc | - Không cho phép thêm mới/sửa/xóa dữ liệu - Dữ liệu được lấy theo trường tương ứng từ mục 3.4.2.2.4.3. Màn hình pop-up "Hồ sơ dự thầu" (chi tiết đánh giá từng hợp đồng mẫu) | Thể hiện ghi chú |
| 3 | Tài liệu đính kèm | iFrame | Không bắt buộc | - Cho phép người dùng xem tài liệu - Cho phép người dùng tải về tài liệu - Dữ liệu được lấy theo trường tương ứng từ mục 3.4.2.2.4.3. Màn hình pop-up "Hồ sơ dự thầu" (chi tiết đánh giá từng hợp đồng mẫu) | Thể hiện tài liệu đính kèm |
3.4.3.5. Màn hình pop-up "Hồ sơ dự thầu" (chi tiết đánh giá từng hồ sơ tài chính)
- Dữ liệu kế thừa từ mục 3.4.2.2.5.3. Màn hình pop-up "Hồ sơ dự thầu" (chi tiết đánh giá từng hồ sơ tài chính)
- Bỏ nút "Lưu" trong pop-up "Hồ sơ dự thầu"
- Cập nhật tab "Đánh giá" trong pop-up "Hồ sơ dự thầu":
Trường/nút chức năng | Kiểu dữ liệu | Điều kiện | Quy định | Mô tả | |
|---|---|---|---|---|---|
| 1 | Xác nhận đủ điều kiện đáp ứng | Nút chọn (Radio) | Bắt buộc | - Không cho phép thêm mới/sửa/xóa dữ liệu - Dữ liệu được lấy theo trường tương ứng từ mục 3.4.2.2.5.3. Màn hình pop-up "Hồ sơ dự thầu" (chi tiết đánh giá từng hồ sơ tài chính) | Thể hiện điều kiện đáp ứng của nhà thầu |
| 2 | Ghi chú | Văn bản (Text) | Không bắt buộc | - Không cho phép thêm mới/sửa/xóa dữ liệu - Dữ liệu được lấy theo trường tương ứng từ mục 3.4.2.2.5.3. Màn hình pop-up "Hồ sơ dự thầu" (chi tiết đánh giá từng hồ sơ tài chính) | Thể hiện ghi chú |
| 3 | Tài liệu đính kèm | iFrame | Không bắt buộc | - Cho phép người dùng xem tài liệu - Cho phép người dùng tải về tài liệu - Dữ liệu được lấy theo trường tương ứng từ mục 3.4.2.2.5.3. Màn hình pop-up "Hồ sơ dự thầu" (chi tiết đánh giá từng hồ sơ tài chính) | Thể hiện tài liệu đính kèm |






